На главную
Портал

Индикатор и Калькулятор будут адаптированы к изменениям в 781-П уже в Сентябре

19.09.2023
14 сентября Банк России опубликовал указание о внесении изменений в Положение 781-П. Команда Синтегс тщательно ознакомилась с новыми нововведениями и подготовила перечень доработок для Индикатора 710-П и Калькулятора 781-П, необходимых для сдачи отчётности по новым требованиям. Обновления выйдут уже в этом месяце, плановая дата выхода релизов 29 сентября. 

Будет добавлено исключение из расчёта концентрации и оценки риска 2 доли перестраховщиков в резервах при условии: "Стоимость 781-П" < 0


1. Оценка риска изменения кредитного спреда (R1spread)


2. Оценка риска изменения процентных ставок (R1interest rate)



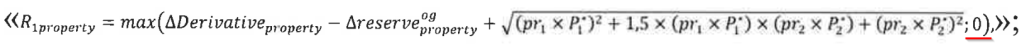
3.Оценка риска изменения цен на недвижимость (R1property)



4.Оценка риска изменения валютного курса (R1currency)



Список "Обязанных лиц РФ" будет дополнен органами исполнительной власти субъектов РФ, органами местного самоуправления и т.п по данным ЕГРЮЛ. Также будет предусмотрено, что при обработке реестра Контрагенты, добавленным контрагентам, органам исполнительной власти субъектов РФ, органами местного самоуправления и т.п., присваивался рейтинг соответствующей 10-ой группе кредитного качества по рейтинговым агентствам АКРА и Эксперт РА.

Значения КБД государственных ценных бумаг КНР будет загружаться с сайта Китайского депозитария государственных ценных бумаг и клиринговой корпорации. Соответственно будут внесены изменения в КБД: добавлен еще один тип валюты — китайский юань CNY (156).

В реестрах "Облигации", "Депозиты", "Займы выданные", "Займы выданные страхователям" для определения показателя Отн. увеличение % ставок/Отн. уменьшение % ставок при условии "Валюта"="156" будет применяться Таблица 3.1. "Относительное увеличение или уменьшение процентных ставок, если валютой процентной ставки является китайский юань".


6. Появление нового поля "Проектная" в реестре "Облигации"




unnamed (2).png

Коэффициент аппроксимации (k) определяется по каждой учетной группе и принимается равным единице, если расчетная дата совпадает с концом квартала. Если расчетная дата не совпадает с концом квартала, коэффициент аппроксимации (k) определяется по формуле:



unnamed (3).png

ДПОно неотрицательная наилучшая оценка приведенной стоимости всех денежных потоков по исполнению обязательств, учитываемых в расчете величины резерва убытков, по договорам страхования, отнесенным к учетной группе;

unnamed (4).png
Для расчета коэффициента Х3 будет создан новый реестр "Доля рынка". Список учетных групп, по которым будет рассчитываться реестр "Расчет вспомогательной величины СР", будет дополнен расчетом по 3 учетной группой.


5. Срок применения КБД КНР и изменений в расчете относительного увеличения/уменьшения % ставок по валюте китайский юань будет изменен на 01.09.23;





Ещё по теме